金哲珺雨在PRL发表重要研究成果
2026-2-25 11:23:59本站
磁性材料通常是根据是否存在宏观净磁化强度进行分类。具体来说,在铁磁体中,有限的磁化强度会破坏时间反演对称性 (T),导致电子能带出现自旋劈裂。相比之下,反铁磁体具有补偿的反平行自旋构型,这些构型通过空间对称性(例如空间反演对称性P或半晶胞平移t)相联系,从而保持组合对称性PT或Tt,并在动量空间中形成自旋简并能带。近年来,一种新兴的磁性,交错磁性的出现打破了原有的分类。交错磁体具有补偿的磁结构,却破坏了PT对称性,从而诱导自旋劈裂的能带结构。
传统的交错自旋劈裂效应基于非相对论体系。最近,研究人员通过考虑自旋-轨道耦合与电子-电子相互作用,成功将交错自旋劈裂效应推广到了关联体系。然而,与电子不同,磁子是粒子数不守恒的玻色子(这里,磁子是自旋波的量子)。这一特性促生了磁子体系中独特的非线性相互作用:三磁子散射过程。一方面,这一过程可以诱导磁子的分裂或合并,形成磁子频率梳(系本课题组首次提出)。另一方面,这种非线性可以破坏线性自旋波理论中虚假的对称性,继而诱发能带劈裂。由此引出一个关键问题:磁子的玻色子特性能否通过三磁子过程,在一般反铁磁体中诱导出交错磁子的手性劈裂呢?

图1:双层反铁磁模型及不同类型DM相互作用诱导的磁子手性劈裂。
为了回答这个问题,研究团队提出了一种双层补偿磁体模型,该磁体包含不同类型的Dzyaloshinskii-Moriya (DM) 相互作用。在这种情况下,原本的PT对称性被打破,体系具有三种不同的对称性,分别是C4T,σvT以及二者皆有,如图1所示。在该系统中, DM相互作用对单粒子哈密顿量并无贡献。因此,线性自旋波理论会得到自旋简并的能带。但这与此前的对称性分析相悖,说明需要进一步考虑非线性相互作用带来的能带重整化效应。
图2:对非简谐自旋波理论中1/S多体修正有贡献的费曼图。
通过格林函数理论,研究团队考虑了由于三磁子效应所导致的自能修正以及相应的能带重整化。自能计算中涉及的费曼图如图2所示。

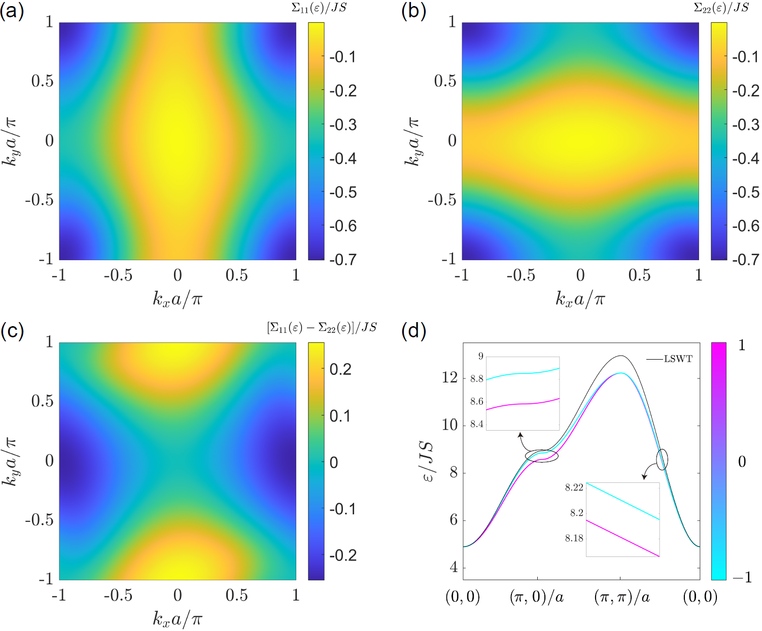
图3:磁子非线性在C4T补偿磁体中导致的自能分布及重整化能带。
以C4T对称性的补偿磁体为例,研究团队发现三磁子效应对左旋和右旋磁子的线性能谱修正可以通过C4对称性相联系,并诱导出倒空间的d-波劈裂效应,如图3(a-c) 所示。通过分析磁子非线性导致的有效自旋-轨道耦合,进一步发现该体系具有可观的自旋劈裂效应,如图3(d)所示,这为在实验上验证该理论预测提供了可能。
总的来说,研究团队提出的机制源于磁子的玻色性质,即粒子数不守恒,这与电子间相互作用所稳定的交错磁性截然不同。该项研究成果加深了对交错磁性的理解,为设计可调手性劈裂磁子器件提供了新的理论框架,结合磁子的低能耗、长距离传输特性,有望推动自旋电子学和量子磁子技术的发展。
本研究得到国家重点研发计划、国家自然科学基金以及四川省科技计划等项目的支持。
文章链接:https://journals.aps.org/prl/abstract/10.1103/v867-h742
