实验室新闻
Lab news-
李明浩同学在PRB发表转角磁子晶体研究成果
2026-3-4 20:13:37频率梳(frequency comb)是由一系列离散、等间距的谱线构成的频谱结构,在精密测量、量子计算等领域具有重要应用价值。受光学频率梳启发,利用磁子(自旋波)模式的非线性耦合可产生磁子频率梳,有望成为片上微波信号…
-
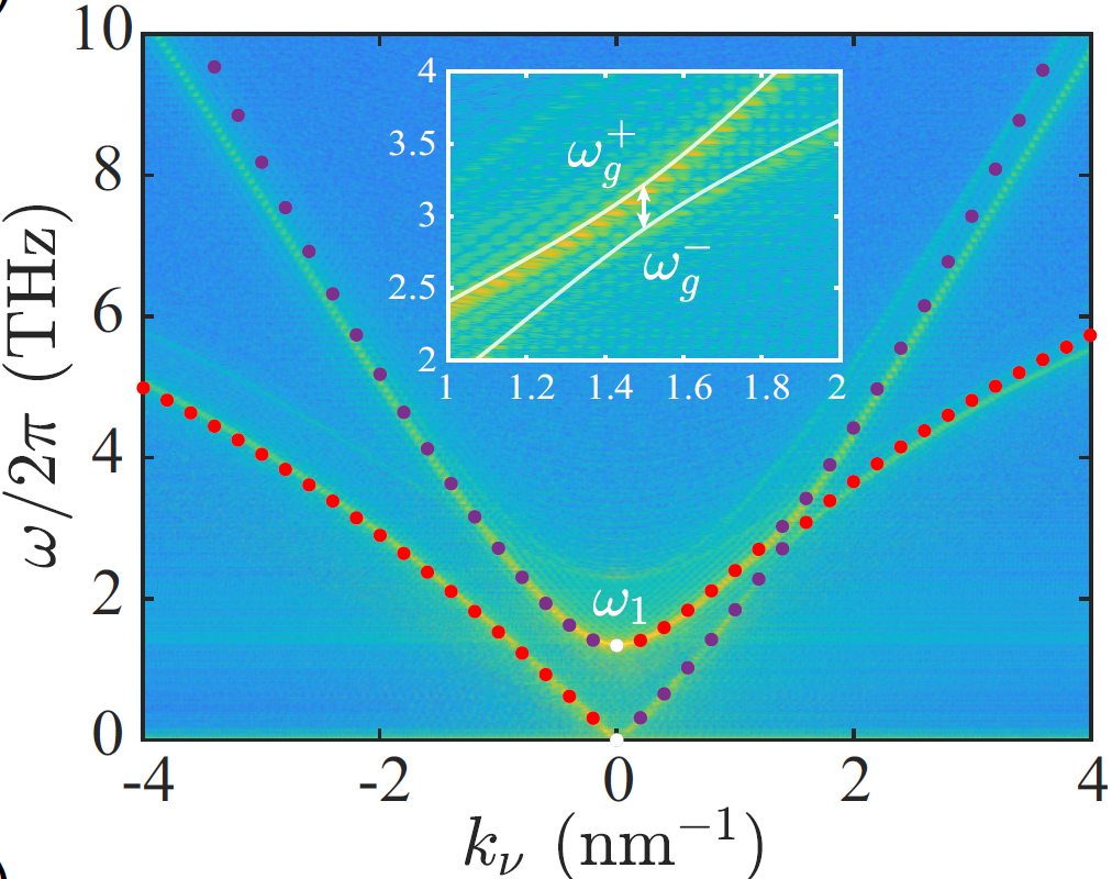
金哲珺雨在PRL发表重要研究成果
2026-2-25 11:23:59磁性材料通常是根据是否存在宏观净磁化强度进行分类。具体来说,在铁磁体中,有限的磁化强度会破坏时间反演对称性 (T),导致电子能带出现自旋分裂。相比之下,反铁磁体具有补偿的反平行自旋构型,这些构型通过空间对称…
-
曾钊卓同学在PRB发表交错磁子束缚态研究成果
2026-2-3 22:35:58交错磁体作为一种新型磁有序材料,兼具电子能带自旋劈裂与实空间交错反铁磁序的独特性质,从而在保持宏观零净磁矩的同时,展现出堪比铁磁体的自旋输运特性,如反常霍尔效应、巨隧穿磁电阻等。这些特性使其被视为下一代…
-
金哲珺雨在PRL发表重要研究成果
2025-9-16 8:54:45磁子 (自旋波的量子) 因长寿命、高可调等优势,在传感、计算等方面备受学术界关注,其与量子比特、声子、光子等平台的兼容性持续推动着量子磁子学的发展,而有效的磁子-磁子耦合是磁子电路量子信息传递的关键。传统耦…
-
郑芊君同学在PRB发表磁频梳量子纠缠研究成果
2025-6-24 16:12:49磁子频率梳(MFC)是由一系列等距、相干的自旋波谱线构成的物理结构,其概念源于光学频率梳的类比。最近,MFC因其在高精度测量与超快磁子器件中的应用潜力成为研究热点。早期研究聚焦于经典非线性过程驱动的MFC生成,…
-
PRApplied:电路模拟斯格明子集体动力学
2025-6-23 9:09:46Thiele方程自1973年提出以来,在描述磁畴、斯格明子(skyrmion)、霍普夫子(hopfion)等磁性织构的运动中发挥了核心作用。其线性区域可精确求解,但在非线性情形下,尤其是涉及多个磁性孤子的复杂相互作用时,解析解的获…
-
巩天赐同学在PRB发表非厄米磁子研究成果
2025-5-27 14:36:56量子力学的基本假设要求系统的哈密顿量是厄米的,这一假设保证了哈密顿量的本征值为实数。然而在满足一定对称性的非厄米体系中,仍然会存在实的本征值,例如PT(party-time,宇称-时间)对称性。在这样的体系中,参数…
-
曾钊卓同学在PRL发表重要研究成果
2025-1-19 19:45:0820世纪30年代,朗道等人提出了铁磁性的量子理论,来描述铁磁体中磁矩的集体激发行为,由于这些激发具有波动属性,被称为自旋波。20世纪30年代末,布洛赫等人对自旋波的量子化进行了深入研究。他们指出,自旋波可以被量…
-
PRB: 斯格明子晶体中低能磁子频率梳
2024-11-21 11:40:06一、研究背景 1. 光学频率梳的广泛应用 光学频率梳(OFC)是由一系列离散、等间距且相位锁定的激光在频域组成的宽频谱。它凭借出色的时间 - 频率参考特性、高度相干且稳定的输出,在众多关键领域发挥着重要…
-
金哲珺雨、曾钊卓在PRL发表重要研究成果
2024-11-6 9:16:48当载流导体置于磁场中时,洛伦兹力使得纵向流动的电子在导体的一侧累积,产生横向电压,该物理现象称为霍尔效应。除了标准的费米子和玻色子,在一些准粒子体系,如磁斯格明子和超导涡旋,也发现了有趣的霍尔效应。和电…
